|
|
|
Revise New Search
|
|
Latest Details
|

|
|
Log in to retrieve additional aliases from SIMBAD. |
|
|
| Name |
BMAM-V865 |
|
|
| AAVSO UID |
|
000-BPN-656 (No observations) |
|
|
| Constellation |
|
| J2000.0 |
|
| B1950.0 |
13 01 09.06 +21 05 14.1 |
| Galactic coord. |
327.330 +83.107 |
Other names

(Internal only)
|
|
2MASS J13033588+2049088 |
ASAS J130336+2049.2 |
GSC 01456-00688 |
|
TIC 149578007 |
TYC 1456-688-1 |
UCAC4 555-050777 |
|
USNO-A2.0 1050-06832408 |
USNO-B1.0 1108-0215662 |
WISE J130335.90+204908.8 |
(Not logged in) Add name
|
| Variability type |
|
EA |
|
|
| Spectral type |
-- |
| Mag. range |
|
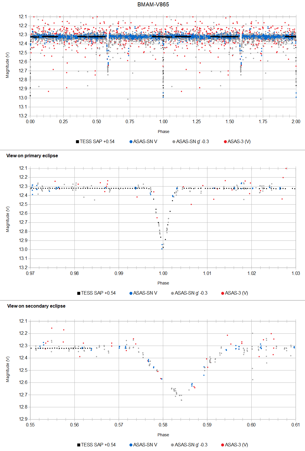
12.32 - 12.98 V |
|
|
| Discoverer |
Mariusz Bajer |
| Epoch |
|
| Outburst |
-- |
| Period |
39.1913 d |
| Rise/eclipse dur. |
0.6% (0.24 d) |
|
|
|
|
Remarks
|

|
|
Some references may be clicked to view in new window. Roll over index number to view submission details.
|
|
|
|
1 |
Bajer, Mariusz
|
Eccentric system. Min II= 12.71: V at phase 0.584, duration 2.0%. BP-G= 0.30 (Gaia DR3); B-V= 0.66 (APASS); J-K= 0.34 (2MASS). Spectroscopic binary (2022ApJS..258...26Z). |
|
|
|
(Not logged in) Add remark
|
|
|
|
References
|

|
|
Click reference title/citation to view in new window. Roll over index number to view submission details.
|
|
|
|
1 |
Zhang, B.; et al., 2022, The Spectroscopic Binaries from the LAMOST Medium-resolution Survey. I. Searching for Double-lined Spectroscopic Binaries with a Convolutional Neural Network |
2022ApJS..258...26Z |
|
2 |
Kochanek, C. S.; et al., 2017, The All-Sky Automated Survey for Supernovae (ASAS-SN) Light Curve Server v1.0 |
2017PASP..129j4502K |
|
3 |
Ricker, G. R.; et al., 2014, Transiting Exoplanet Survey Satellite (TESS) |
2014SPIE.9143E..20R |
|
4 |
Pojmanski, G., 2002, The All Sky Automated Survey |
2002AcA....52..397P |
|
|
|
|
|
|
External Links
|

|
|
Links open in a new window. Not all links may be valid for this particular target.
|
|
|
|
Location
|
Go
|
Select a Location for more details.
|
|
|
|
|
Images
|

|
|
Please review Digitized Sky Survey Acknowledgment and Copyright.
|
|
|
|
Image not downloaded. Click Retrieve Image to download and view. |
Retrieve image
|
|
|
|
|
Supporting Documents
|

|
|
Click document name to open or save. Browser plug-in or other software may be required for viewing.
|
|
|
|
1 |
BMAM-V865 phase plot
|
Bajer, Mariusz
|
2023-02-16 18:44 UTC |
Phase plot data from ASAS-3 (V), ASAS-SN (V), ASAS-SN (g') and TESS SAP shifted to V standard with zoom on primary and secondary eclipse. |
|
|
|
(Not logged in) Add document
|
|
|
|
Revision History
|

|
|
Currently approved revision is checked. Click revision number to view details of that revision.
|
|
|
|
|